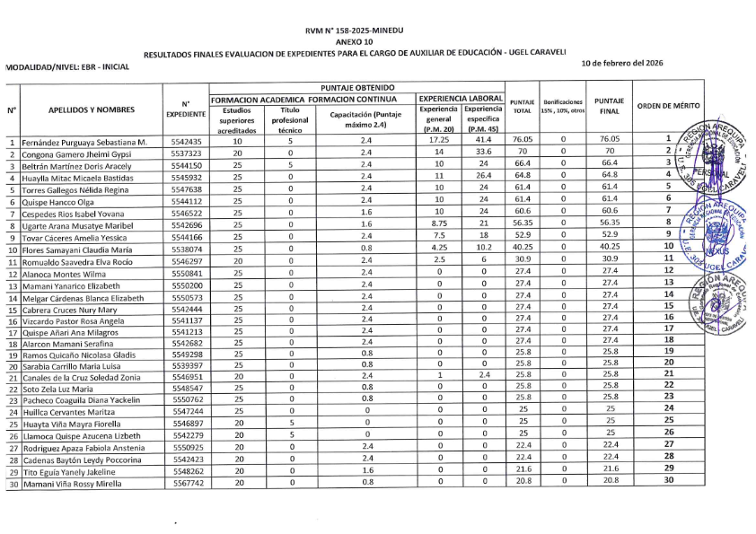
RESULTADOS FINALES EVALUACION DE EXPEDIENTES PARA EL CARGO DE AUXILAIRES DE EDUCACION – UGEL CARAVELI

Comparte

Deja un comentario

Scroll to Top
Abrir chat
Necesitas ayuda?
Hola, podemos ayudarte?